Dạng 1: thực hiện phép tính
Bài 1: thực hiện phép tính
- 23+ 15∙107

- 49-35∙29

- 45∙1516+38

- 43∙612-515

|
- 1214-32÷98

- 216-35÷410

- 714+37÷1214

- 56+ 25÷410

|
- 112+234-56

- 36-48+512

- 410∙216÷25

- 47÷435∙103

|
Bài 2: Thực hiện phép tính:
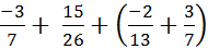
- -37+ 1526+-213+37

- 47+-516+-47+34

- -315
+49+15-49
- 45-29+(-515+29
)
|
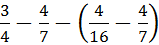
- 34-47-416-47

- 78+56-416-1012

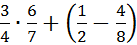
- 34∙67+12-48

- (35+615)-127÷649

|
Bài 3: thực hiện phép tính
- -59+59∙(313-123)

- -37+37∙225-115

- 314+124:198-198

- 235-115∙514+-514

|
- 313+(249+413)

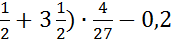
- (112+312)∙427-0,2

- 5% + 56∙415-34÷62

- 0,4 + 20% - 313÷2015

|
Bài 4: thực hiện phép tính( tính nhanh nếu có thể)
- -45∙1113+45∙-213-15

- -79∙411+-79∙711+579

- -512∙211+-512∙911+512

- -57∙219+-57∙1719+157

|
- 57∙13-57∙14-57∙112

- 719∙-811+-719∙311+1219

- -2021∙2235+2021∙-1335+-2221

- -35∙27+35∙-57-235

|
Dạng 2: tìm x
Bài 5:Tìm x, biết:
- 12+x= 34

- x+23=168

- 35-x=45

- x-712=32

|
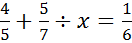
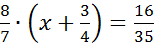
- 23∙x=415

- x∙56=310

- 34÷x=920

- x ÷47=3516

|
- 37-x=20%

- x÷127=3,5

- 30% + x = 0,4
- 20% . x = 125

|
Bài 6: Tìm x, biết:
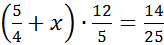
- 12∙x- 34=56

- 23∙x+35=615

- 45+57÷x=16

- 23x+15=710

|
- 223x-823=313

- 9x-149=-29

- -
52+23x=-46
- -2x3+15=110

|
Bài 7: Tìm x, biết:
- (2x -4,5) ÷14-13=1

- (2,4x – 3,6) ÷157=-1

- 12x+18x= 34

- 12x+150x=2014

|
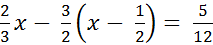
- 23x- 32x- 12= 512

- 49x- 13x+16=712

- 56x- 23+14x=612

- 12÷x- 13=-34

|
Bài 8: Tìm x, biết:
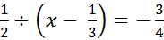
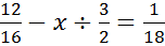
- (x – 12)÷34=209

- 56÷23-x=412

- 87∙x+34=1635

- 54+x∙125=1425

|
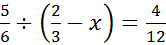
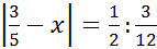
- 20%x – 2,4 x = 1215

- 1216-x÷32=118

- 49÷x+34=312

- 35-x=12:312

|
Dạng 3: toán đố
Bài 1: Khối 6 của một trường có tổng cộng 90 học sinh. Trong dịp tổng kết cuối năm
thống kê được: Số học sinh giỏi bằng 1/6 số học sinh cả khối, số học sinh khá bằng 40% số học sinh cả khối. Số học sinh trung bình bằng 1/3 số học sinh cả khối, còn lại là học sinh yếu.
- Tính số học sinh mỗi loại.
- Tính tỉ số phần trăm của học sinh trung bình và học sinh khá so với số học sinh cả khối?
Bài 2: Ba đội công nhân có tất cả 192 người. Số người đội I chiếm ¼ tổng số. Số người đội II bằng 125% đội I. còn lại là người đội III
- Tính số người đội III?
- Tính tỉ số phần trăm của đội II so với cả ba đội?
- Tính tỉ số phần trăm của đội I so với đội III?
Bài 3:Bạn Nam đọc hết một quyển sách dày 200 trang trong ba ngày. Ngày thứ nhất bạn Nam đọc được 1/5 số trang sách, ngày thứ hai đọc được 1/2 số trang sách còn lại.
1) Hỏi mỗi ngày bạn Nam đã đọc được bao nhiêu trang sách?
2) Tính tỉ số phần trăm trang sách Nam đọc được của ngày thứ nhất so với tổng số trang sách.
Bài 4: Một lớp có 40 học sinh gồm 3 loại: Giỏi, khá và trung bình. Số học sinh giỏi chiếm 1/5 số học sinh cả lớp. Số học sinh trung bình bằng 3/8 số học sinh còn lại
a) Tính số học sinh mỗi loại của lớp
b) Tính tỷ số phần trăm của số học sinh trung bình so với học sinh cả lớp
Bài 5:Lớp 6A có 40 học sinh. Kết quả học kỳ I được xếp loại như sau: Loại khá chiếm 40% tổng số học sinh cả lớp và bằng 8/11 số học sinh trung bình; còn lại xếp loại giỏi.
a) Tính số học sinh mỗi loại của lớp
b) Tính tỷ số phần trăm của số học sinh giỏi so với học sinh cả lớp
Bài 6:Một ôtô đã đi 120km trong 3 giờ.Giờ thứ nhất ôtô đi được 1/2 quãng đường; Giờ thứ hai ôtô đi được 2/5 quãng đường còn lại.
a) Tính quãng đường ôtô đi trong mỗi giờ?
b) Quãng đường đi trong giờ thứ 3 chiếm mấy phần trăm cả đoạn đường?
Bài 7:Một khối 6 có 270 học sinh bao gồm ba loại : Giỏi, Khá và Trung bình. Số học sinh trung bình chiếm 7/15 số học sinh cả khối, số học sinh khá bằng 5/8 số học sinh còn lại.
a)Tính số học sinh giỏi của khối 6 đó
b) Tính tỉ số phần trăm của số học sinh giỏi so với học sinh cả khối 6 đó.
Bài 8: Một lớp học có 45 học sinh gồm ba loại: giỏi, khá, trung bình. Số học sinh giỏi chiếm 20% số học sinh cả lớp. Số học sinh còn lại bằng 9/5 số học sinh trung bình (số học sinh còn lại gồm hai loại: khá, trung bình).
- Tính số học sinh mỗi loại?
- Tính tỉ số phần trăm của hs giỏi và hs trung bình?
Bài 9:Để cứu trợ đồng bào bị lũ lụt, 1 tổ chức từ thiện đề ra mục tiêu là quyên góp được 8400kg gạo. Trong 3 tuần đầu, họ đã quyên được 1/2 số gạo. Sau đó quyên được 2/3 số gạo đó. Cuối cùng quyên được 1/4 số gạo đó.
- Hỏi họ có vượt mức đề ra không?
- vượt bao nhiêu kg?
Bài 10: Lớp 6A có 40 học sinh. Cuối năm, số học sinh xếp loại khá chiếm 45% tổng số học sinh cả lớp. Số học sinh khá bằng 5/6 học sinh trung bình, còn lại là học sinh giỏi.
- Tính số học sinh mỗi loại?
- Tính tỉ số phần trăm của hs khá với hs cả lớp?
- Tính tỉ số phẩn trăm hs giỏi với hs trung bình?
Bài 11: Lớp 6A, số học sinh giỏi học kỳ I bằng 2/9 số học sinh cả lớp. Cuối năm có thêm 5 em đạt loại giỏi nên số học sinh giỏi bằng 1/3 số học sinh cả lớp .
- Tính số học sinh của lớp 6A?
- Tính tỉ số phần trăm của hs giỏi kì 1 với hs cả lớp?
Bài 12:Chiều dài của một mảnh vườn hình chữ nhật là 60m, chiều rộng bằng 3/5 chiều dài.
- Tính diện tích mảnh vườn
- Người ta lấy một phần đất để đào ao. Biết 5/6 diện tích ao là 360m2 . Tính diện tích ao?
- Phần còn lại người ta trồng rau. Hỏi diện tích ao bằng bao nhiêu % diện tích trồng rau?
Bài 13: Ba lớp 6A, 6B, 6C có 140 học sinh. Số học sinh lớp 6A chiếm 3/7 số học sinh cả ba lớp và bằng 5/4 số học sinh của lớp 6B. Còn lại là học sinh lớp 6C.
- Tính số học sinh của mỗi lớp?
- Tính tỉ số phần trăm hs lớp 6A và hs lớp 6C?
Bài 14: Ba lớp 6A, 6B, 6C có 150 học sinh. Số học sinh lớp 6A chiếm 25
số học sinh cả ba lớp và bằng 1513
số học sinh của lớp 6B. Còn lại là học sinh lớp 6C. Tính số học sinh của mỗi lớp.
- Tính số học sinh của mỗi lớp?
- Tính tỉ số phần trăm hs lớp 6B và hs cả ba lớp?
Bài 15: Một đội công nhân sửa đoạn đường dài 420m trong 3 ngày. Ngày thứ nhất sửa được 37
đoạn đường và bằng 54
đoạn đường sửa được trong ngày thứ hai. Ngày thứ ba đội công nhân sửa nốt đoạn đường còn lại.
- Hỏi mỗi ngày đội công nhân sửa được bao nhiêu m?
- Tính tỉ số phần trăm quãng đường ngày thứ ba làm được và cả quãng đường?
Dạng 4: hình học
Bài 1: Trên cùng một nửa mặt phẳng bờ chứa tia Ox vẽ góc xOt = 400, và góc xOy = 800.
a. Tia nào nằm giữa hai tia còn lại ? Vì sao ?
b. Tính góc yOt ?
c. Tia Ot có là tia phân giác của góc xOy không ? Vì sao ?
Bài 2: Trên cùng một nửa mặt phẳng bờ chứa tia OA, vẽ các tia OB và OC sao cho góc AOB=1000, góc AOC = 500.
a) Trong ba tia OA, OB, OC tia nào nằm giữa hai tia còn lại, vì sao ?
b) Tia OC có phải là tia phân giác của góc AOB không, vì sao ?
c) Vẽ tia OD là tia đối của tia OB.Tính số đo của góc COD?
Bài 3:Cho hai góc kề bù là ∠xOz và ∠yOz với ∠xOz = 1200
1) Tính ∠yOz.
2) Vẽ tia Ot là tia phân giác của ∠xOz. Chứng tỏ rằng tia Oz là tia phân giác của ∠yOt.
Bài 4: Cho hai tia Oy, OZ nằm trên cùng nửa mặt phẳng có bờ là tia Ox sao cho góc xOy = 750, góc xOz = 250.
a) Trong 3 tia Ox, Oy, Oz tia nào nằm giữa hai tia còn lại?
b) Tính góc yOz
c) Gọi Om là tia phân giác của góc yOz. Tính góc xOm.
Bài 5: Trên cùng một nửa mặt phẳng bờ chứa tia Ox, vẽ tia Oy và Ot sao cho: ∠xOy = 300; ∠xOt = 700.
a, Trong 3 tia Ox, Oy, Ot, tia nào nằm giữa 2 tia còn lại?
b, Tính góc yOt, Tia Oy có phải là phân giác của góc xOt không?
c, Gọi Om là tia đối của tia Ox. Tính góc mOt?
d, Gọi tia Oa là phân giác của góc mOt, tính góc aOy?
Bài 6: Cho hai góc kề bù ∠xOy và ∠yOz, biết ∠xOy = 1200
a/ Tính ∠yOz
b/ Gọi Ot là tia phân giác của ∠xOy.Tính ∠zOy
c/ Tia Oy có là tia phân giác của ∠zOt không? Vì sao?
Bài 7: Trên cùng một nửa mặt phẳng bờ chứa tia Ox, vẽ hai tia Oy, Oz sao cho xÔz = 420, xÔy= 840
a) Tia Oz có là tia phân giác của xÔykhông? Tại sao?
b) Vẽ tia Oz’ là tia đối của tia Oz. Tính số đo của yÔz’
c) Gọi Om là tia phân giác của xÔz. Tính số đo của mÔy, mÔz’
Bài 8: Trên cùng một nửa mặt phẳng bờ là đường thẳng chứa tia Ox, vẽ hai tia OA và OB sao cho .
a) Trong ba tia OA, OB, Ox tia nào nằm giữa hai tia còn lại? Vì sao?
b) Tính số đo ?
c) Tia OA có là tia phân giác của không? Vì sao?
d) Vẽ tia Oy là tia đối của tia Ox và Ot là tia phân giác của . Tính số đo ?
Bài 9: Trên cùng một nửa mặt phẳng có bờ chứa tia Ox, vẽ hai tia Oy và Om sao cho ∠xOy = 50º; ∠xOm = 100º ; .
a) Trong ba tia Ox, Oy, Oz tia nào nằm giữa hai tia còn lại? Vì sao?
b) So sánh ∠xOy và ∠yOm
c) Tia Oy có phải là tia phân giác của không? Vì sao?
d) Vẽ tia Oh là tia đối của tia Ox. Tính ∠yOh ?
Bài 10: Vẽ hai góc kề bù ∠xOy và ∠yOz, biết
∠xOy = 50 º. Vẽ tia Oa là tia phân giác của ∠xOy.
a. Tính số đo ∠yOz .
b. Vẽ tia Ob là tia phân giác của ∠yOz. Tính số đo ∠aOb.
c. Trên cùng một nửa mặt phẳng bờ là đường thẳng xz có chứa tia Oy, vẽ ∠zOt = 105º. Hỏi tia Oy là tia phân giác của ∠aOt không? Vì sao?
Bài 11: Cho hai tia Oy, OZ nằm trên cùng nửa mặt phẳng có bờ là tia Ox sao cho góc xOy = 750, góc xOz = 250.
a) Trong 3 tia Ox, Oy, Oz tia nào nằm giữa hai tia còn lại?
b) Tính góc yOz
c) Gọi Om là tia phân giác của góc yOz. Tính góc xOm.
Bài 12: Trên cùng một nửa mặt phẳng bờ chứa tia Ox, vẽ tia Oy và Ot sao cho: ∠xOy = 300; ∠xOt = 700.
a, Trong 3 tia Ox, Oy, Ot, tia nào nằm giữa 2 tia còn lại?
b, Tính góc yOt, Tia Oy có phải là phân giác của góc xOt không?
c, Gọi Om là tia đối của tia Ox. Tính góc mOt?
d, Gọi tia Oa là phân giác của góc mOt, tính góc aOy?
Bài 13:Cho hai góc kề bù ∠xOy và ∠yOz, biết ∠xOy = 1200
a/ Tính ∠yOz
b/ Gọi Ot là tia phân giác của ∠xOy.Tính ∠zOy
c/ Tia Oy có là tia phân giác của ∠zOt không? Vì sao?
Bài 14: Cho góc bẹt xOy.vẽ tia Oz sao cho ∠yOz = 800 .
a) Tính ∠xOz
b) Vẽ Om, On lần lượt là tia phân giác của ∠xOz và ∠yOz. Hỏi hai góc ∠mOz và ∠nOz có phụ nhau không? Tại sao?
Bài 15: Trên cùng một nửa mặt phẳng bờ chứa tia Ox, vẽ hai tia Oy và Ot sao cho góc xOy =400 ; góc xOt =800
a)Tính góc yOt.Tia Oy có phải là tia phân giác của góc xOt không ?
b)Gọi Om là tia đối của tia Ox.Tính góc mOt
c)Gọi tia Ob là tia phân giác của góc mOt.Tính góc bOy
Bài 16: Trên cùng một nửa mặt phẳng bờ chứa tia Ox vẽ góc xOt = 400 và góc xOy = 800.
a. Tia nào nằm giữa hai tia còn lại ? Vì sao ?
b. Tính góc yOt ?
c. Tia Ot có là tia phân giác của góc xOy không ? Vì sao ?
Bài 17: Trên cùng nửa mặt phẳng bờ chứa tia Ox, vẽ các tia Oy,Oz sao cho góc xOy= 30°, xOz = 60°
- Tính số đo góc yOz
- Vẽ tia Ot là tia đối của tia Ox. Tính số đo góc tOz
- Vẽ tia Om là tia phân giác của góc tOz. So sánh góc tOm và góc xOz
- Chứng tỏ rằng tia Oz là tia phân giác của góc xOm